REPRESENTATION D'UN TEXTE EN MACHINE



Présentation


Les nombres binaires utilisés pour représenter les mots sont définis dans des tables selon une norme qui vous précise le nombre binaire ( suite de 0 et de 1) de chaque caractère.


La norme ASCII  


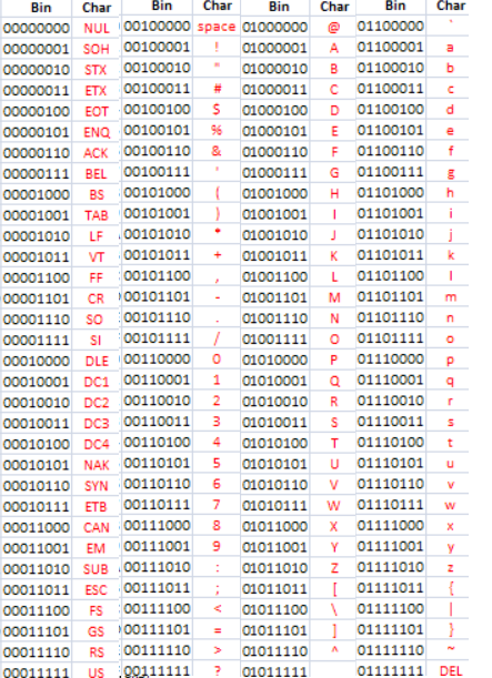
Cette norme de représentation des caractères avec un ordinateur ( voir figure ci-dessous) a été la première norme imaginée, elle est destinée aux caractères de la langue Anglaise, c'est le codage utilisé par beaucoup logiciels Américains.  Voici un extrait de la table ASCII, les explications sont données en dessous des tables. La colonne CHAR représente chaque caractère du clavier et la colonne Bin son nombre binaire associé:


   

                                                                                                   

Ainsi le caractère A est le nombre 0100 0001 en binaire.



Un texte comme: "TATA  YOYO"  se code  "0101 0100 0100 0001 0101 0100 0100 0001 0010 0000 01011001010011110101100101001111" en binaire.




Créé avec HelpNDoc Personal Edition: Création d'aide CHM, PDF, DOC et HTML d'une même source