A DIGITAL WORLD
INTRODUCTION
Smart phones, social media and big data have transformed the way we work, learn, entertain and organize our lives. Digitalization has enabled a new-look globalization and powered a wider technology revolution but we can’t forget that technology must work for the good of people.
PART A: SOCIOLOGICAL ASPECTS
- Communication technologies
Since the 1990s and the advent of the internet, a burst of new communication technologies has inspired several waves of life changes among people throughout the world, like:
- People can get answers to questions about almost anything just by asking their Smartphone.
- Digital life allows speaking and seeing someone regardless of where they are.
- Social media enable to share feelings, videos and photos instantly with anyone on the other side of the world.
- Car navigation improves with GPS.
- Etc…
Are all of these technologies just good for us?
From mobile phones to Instagram, from instant messaging to Twitter, several studies have been published to assess whether the association of digital media use and psychological well-being is positive or negative. However, it appears that there are important differences in how different digital media affect psychological well-being; moreover the effects of the same medium can change from one person to another.
Across multiple studies, the conclusion is more often people made and received telephone calls, the better their overall well-being (bien-être général). Texting was also positively correlated with well-being. In contrast, social network sites (SNSs) usage is negatively related to well-being, especially girls. Girls are more sensitive to negative reviews and more susceptible to be cyber bullied or victims of « revenge porn »; the term 'revenge porn’ is used to describe the act of sharing intimate and sexual content of someone without their consent. This offence often takes form in posting photos, videos or deep fakes of someone to harm them.
- Digital entertainment
Entertainment or amusement is as old as human history and is a central part of human experience. The rapid advances in technology have led us to digital entertainment which has had a significant impact on how we spend our leisure time. Different forms of entertainment (music, cinema, radio, television, games, gambling) are converging on digital services ( Spotify, Itunes, Amazon Prime, Youtube, Netflix, Steam, etc.) ; social media (Instagram, Tik-Tok, snap chat, … ) are among these services.
In addition to the problems mentioned in the previous chapter, some digital entertainment, such as video games, can cause addiction which leads to a state of mental suffering and great loneliness. In rare cases, a video game addict can become extremely sad or aggressive; boys are more affected by these pathologies.
Digital technology also poses copyright issue; it has made it easier to pirate digital entertainment products. Although encryption-based content-protection technology limits access to entertainment content, it is not a perfect solution. It suffers from a range of challenges and limitations.
Advances in entertainment technologies are evolving rapidly and creating new challenges for both the entertainment industries and the users. Internet has become, with the growing popularity of the online video format, an unmatched ally for digital entertainment. The age of digital entertainment has just begun. The way we watch a film, listen a song, read a book, or play a game may change in the future.
- Education and digital learning
Digital learning allows participants to learn new skills, on line, in autonomy. This process encompasses (englobe) e-learning such as training videos and virtual classroom and other training tools like quizzes and serious games. Digital learning would improve the quality of teaching and memorization processes.
Some advantages of digital learning
• reduce training costs
• facilitate access to training
• allow the acquisition of skills from any location at any time: at home, in transport, on the move or on vacation, 24 hours a day, 7 days a week
• motivate learners more easily via interactive interfaces, bring fun to learning.
• develop skills in a fun way
• make the training path more autonomous.
Some drawbacks:
• Investment in terms of equipment can lead to a digital exclusion.
• Autonomous work management can sometimes be complicated.
• Little or no direct contact between the learner and the trainer in case of questions
- The impact of digitalization on employment
Today, however, the question of whether technology creates or destroys jobs is gaining momentum ( prend de l’ampleur)
The truth is that we actually know quite little of what is going to happen. What will the economic impact of innovations be in the future? How will humans interact with machines and algorithms? What kind of skills do we need and how should we learn?
Current estimates of global job losses due to digitalization range from 2 million to 2 billion by 2030. There is great uncertainty, with concerns also about its impact on wages and working conditions.
Digitalization could create up to 6 million jobs worldwide by 2025 in the logistics and electricity industries. Elsewhere, automation will replace many human beings, with both winners and losers resulting from digital transformation.
We can at least be sure that there will be three types of jobs:
- Those that will disappear (lost the race against the machine). For example, administrative staff, or truck drivers.
- Those that are in collaboration with machines / algorithms (run with the machine). For example, engineers who are managing data and machines.
- Those jobs that are completely new or remain largely untouched (running faster than the machine or running a different race). For example, roles in the creative arts are unlikely to be automated.
PART B: ENVIRONMENTAL IMPACT OF DIGITAL TECHNOLOGY
Based on the online article:
https://en.reset.org/knowledge/our-digital-carbon-footprint-whats-the-environmental-impact-online-world-12302019
Every single search query, every streamed song or video and every email sent, billions of times over all around the world, it all adds up to an ever-increasing global demand for electricity and participate to rising CO2 emissions. Our increasing reliance on digital tools has an environmental impact that's becoming increasingly harder to ignore.

Digital tools and services are an integral part of our lives. It’s hard to imagine a life without Smartphone, apps, Wikipedia, online banking, route planners with GPS and having a huge selection of music and movies pretty much everywhere, around the clock. All of these things make our lives so much easier.
Digital technologies are also playing an increasingly important role in agriculture and industry, in the transition to renewable energies and in the future of our cities. At the same time, digitalisation offers new solutions for tackling climate change and protecting the environment.
However, just because we can’t physically see or touch the data that we’re sending and receiving all over the globe, it actually carries rather heavy baggage: its energy consumption is constantly growing. The smart devices we use are often produced under exploitative and environmentally harmful conditions and, at the end of their far too short lives, they end up as toxic electronic waste. This poses a very important question: will digitalisation be able to help us on the way to a greener and fairer world, or will our growing reliance on digital tools ultimately prove to be an accelerator for climate change and the destruction of the planet?

PART C: DIGITAL TECHNOLOGY PRINCIPLES
- Digital data
- Introduction
A digital device such as a Smartphone processes digital data. A digital data is a series made with bits, bit is short for binary digit; the value of a bit is either 0 or 1. A digital data is a series of 0 and 1.
- Information
What’s the meaning of a digital data? What’s the meaning of 0100 0001? It depends on the context. When you add a context to a piece of data, it becomes a piece of information. The context of a digital data can be a keyboard character, the height of a sound, the color of a pixel on the screen, a number for a calculation, etc. 
- Bit and bytes
Digital data is ‘measured’ in Bytes. The Byte is a series of 8 bits. When there are a lot of bits, we use KiloBytes (KB), MegaBytes (MB) and GigaBytes (GB), etc, to express the amount of bytes
- The decimal base ( base 10)
In math, we commonly use the decimal base (base 10) to write numbers; a decimal number is made up of symbols; there are ten symbols in the decimal base: 0,1,2,3,4,5,6,7,8,9.
Depending on its position in the number, the symbol is associated to a different power of ten, for the units column the power is 100 = 1, for the tens column, the power is 101=10, for the hundreds column the power is 102= 100 and so on. A number is obtained by adding symbols multiplied by their power, examples:
36 = 3 X 101 + 6 X 100 = 30 + 6 = 36
One can say that in number 36, we have 3 tens and 6 units.
224 = 2 X 102 + 2 X 101 + 4 X 100 = 200 + 20 + 4 = 224
Millions Power 106 |
Hundreds of thousands: Power 105 |
Tens of thousands: Power 10000 |
Thousands: power 1000 |
Hundreds: Power 100 |
Tens: Power 10 |
Units: Power 1 |
0 |
0 |
0 |
0 |
2 |
2 |
4 |
224 is also 0000224
One can say that in number 224, we have 2 hundreds, 2 tens, 4 units and 0 thousands, 0 millions…
- The binary base ( base 2)
When the digital information is a natural number, what is the relation between the series of 0 and 1 and the corresponding decimal number? To answer this question, you need to learn the principle of the binary base.
You already know that a digital data is a series of bits; each bit can only have two values 0 or 1. To express a digital number, one uses the binary base (base2).
The binary base uses two symbols: 0, 1.
Depending on its position in the number, the symbol is associates to a different power of two.
Example: 1 0 0 1 can be a binary number. If you add symbols multiplied by their power of two, you’ll obtain the equivalent decimal number.
1 0 0 1 = 1 X 23 + 0 X 22 + 0 X 21 + 1 X 20 = 0 x 8 + 0 x 4 + 0 x 2 + 1 x 1 = 9
The binary number 1001 is the decimal number 9. To avoid misunderstanding, one can add the letter b to binary numbers and the letter d to decimal numbers, thus:
Sixty-fours Power 64 |
Thirty-twos Power 32 |
Sixteens Power 16 |
Eights Power 8 |
Fours Power 4 |
Twos Power 2 |
ones: Power 1 |
0 |
0 |
0 |
1 |
0 |
0 |
1 |
One can say that in number 1001, we have 1 packet of eights and one packet of ones.
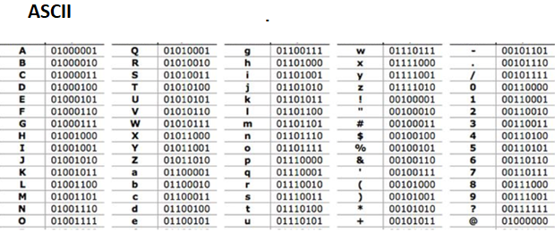
- Characters
When the digital information is a word, what is the relation between the series of 0 and 1 and the corresponding word? Historically, computers used the ASCII encoding to represent characters. Each character was coded on 7 bits and next 8 bits which made it possible to represent 256 different characters, that is enough to encode all American characters.

TOTO will be encoded: 01010100 01001111 01010100 01001111 in a digital system using ASCII encoding.
Later to be able to represent all alphabets and symbols, the UNICODE standard was created. Unicode can be implemented in several ways. The Unicode standard defines Unicode Transformation Formats (UTF): UTF-8, UTF-16, and UTF-32, and several other encodings.
UTF-8 is capable of encoding all 1,112,064 valid characters in Unicode using one to four bytes. It was designed to be compatible with ASCII. UTF-8 is the dominant encoding on the World Wide Web (used in over 95% of websites as of 2020, and up to 100% for some languages)
- Digital signals
What is a 0 or a 1 in the digital device?
Digital devices are made of electronic components soldered on a printed circuit board .
Inside a digital device, bits are electrical signals. The signal can only take two values associated with 0 and 1. The value of the electrical signal represents either the number of electrons or ions flowing between the components (the electric current) or the difference in energy level of the charges (the voltage).
A bit as a current:
An electric current is a flow of electrons or ions. In the picture below you can see a circuit with wires, a battery and a lamp. A lamp is a resistive piece of matter (made of tungsten or other materials) , when an electron crosses the lamp, it encounters a resistance given by the atoms of tungsten. This resistance regulates the amount of electrons that can cross each second.
The amount of electrons that crosses each second is called the intensity of the current. The case of a lamp is special because it is an energy converter, each electron loses some energy during the crossing, this energy is given to atoms which release it as light. An electronic component made of carbon, called a resistor, also provides a resistance to the electric current, the difference is that it is not converting the energy given into light but into heat. Whenever we want to regulate the current, we can use such a component. One can use two values of intensities of an electric current to set the 0 and the 1.



If we open the circuit, no current is flowing ⬄ no intensity.

Inside a digital device some electronic components are sensitive to the current, they operate or not depending of the intensity.
A bit as a voltage:
The voltage is a quantity related to the energy of charges, it is measured between two points. To understand this physical quantity, one can compare the voltage, between the two points A and B of an electric circuit, to the height of a mass m with regard to the ground. The Voltage is measured in Volts (letter V), the height in measured in meters (letter m).

Voltage ⬄ height ⬄ the two quantities are related to a difference of potential energy.
Electric charge q ⬄ mass m ⬄ holds more or less energy depending of their position.
Lamp ⬄ tomato ⬄ receives energy during an interaction with the charge ( or the mass)
When an electric charge q is flowing from the minus terminal to the plus terminal that attracts it, it is like a mass m falling from a height A to the ground B (see figures). Higher the height is, higher will be the energy of the mass. The voltage is like the height, higher the voltage is, the higher is the energy of q and the higher will be the energy given to the lamp if q crosses it.
By definition, an electric charge q which is located at the minus terminal is at the voltage 0 Volts (as a mass m which is at the sea level is at the height 0 m)
If the battery is defined 1.5 V, a charge located at the plus terminal is at the voltage 1.5 Volts (this is the case of q on the picture).
If we want to use Voltage as the signal for a bit value, one can say, if an electric charge is at voltage 0 Volts, it stores a value 0; if this charge is at voltage 1.5 Volts, it stores a value 1.
The capacitor is an electronic component that acts as a bucket for charges, if the capacitor is connected to the plus of a battery it stores charges at level 1.5 Volts, the capacitor stores a bit equal to 1;
If both parts of the capacitor are connected to the minus of the battery it stores charges at level 0 Volts, the capacitor stores a bit equal to 0.

If you want to store a byte with 8 bits equal to 1 (1111 1111), you need eight capacitors linked to the battery.

If you want to store 1 GBytes, you need, 8 000 000 000 capacitors. It is possible with miniaturization.
Created with the Personal Edition of HelpNDoc: Full-featured multi-format Help generator